网站首页  词典首页


请输入您要查询的字词:

 

字词 静态均衡
类别 中英文字词句释义及详细解析
释义 静态均衡

指不考虑时间因素或者说各种变量都属于同一个时期的经济系统所处的一种平衡状态,在这种状态中,所有的变量,不管是流量指标,还是存量指标,也不管是这个经济系统的内生变量还是独立于这个系统的外生变量,都处于一种平衡状态,即没有变化发生的状态。

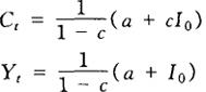
在静态均衡状态中,经济系统在未来任一时期的情况仍是这种状态,严格地讲,它是一种特殊的均衡,即从一个时期到下一个时期均衡态势保持不变的一种情况。我们考虑一个简单的宏观经济模型:

Ct=a+cYt (1)

Yt=Ct+I0 (2)

在这个简单的模型中,(1)式表示静态消费函数,即本期消费Ct是本期国民收入Yt的函数;c为边际消费倾向,是个常数;(2)式为国民收入的定义式,这是一个恒等式,其中I0表示投资,它是一个外生变量;这个宏观经济模型中的各个变量都属于同一个时期,所以是一个静态经济系统,实际上,在表示这种静态系统时,表示时间的下标可以省略。在一定的条件(1-c≠0)下,可以求出这个系统的均衡位置:

研究静态均衡的目的在于说明均衡的存在条件。如上面的这个系统,处于静态均衡的条件就是外生的投资和边际消费倾向保持不变。因此,静态均衡的主要特点是在分析经济活动时,假设外生因素不变,只在静态的领域内来确定均衡状态。

现实生活中,并不存在这种静态均衡,但是静态均衡分析方法却有极大的理论意义。

原因在于,静态分析是动态分析的前提,而且静态均衡可以作为动态均衡的一种特殊情况。只有在弄清了静态均衡的条件的基础上,才能更好地研究动态系统。

参考文献:

保罗·A·萨缪尔森,1983,《经济分析基础》,商务印书馆。

刘凤岐主编,1988,《当代西方经济学辞典》,山西人民出版社。

乌家培主编,1990,《经济大辞典-数量经济学卷》,上海辞书出版社。

随便看

 

离鸟网收录3541549条中英文词条,其功能与新华字典、现代汉语词典、牛津高阶英汉词典等各类中英文词典类似,基本涵盖了全部常用中英文字词句的读音、释义及用法,是语言学习和写作的有利工具。

 

Copyright © 2004-2024 vtrois.com All Rights Reserved
更新时间:2026/4/17 21:53:13