网站首页  词典首页


请输入您要查询的字词:

 

字词 青霉素O钠
类别 中英文字词句释义及详细解析
释义 青霉素O钠

CAS-7177-54-0

CAS-87-09-2(penicillin O)

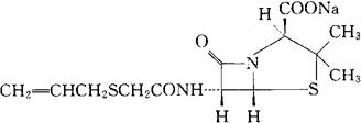
3,3-二甲基-7-氧代-6-[[(2-丙烯基硫代)乙酰]氨基]-4-硫杂-1-氮杂双环[3.2.0]庚烷-2-羧酸钠盐。

3,3-Dimethyl-7-oxo-6-[[(2-propenylthio)acetyl]amino]-4-thia-1-azabicyclo[3.2.0]heptane-2-carbinoic acid sodium salt.

抗生素类药(抗菌药)。

阿美西林钠。

Penicillin Cer-O-Cillin Sodium,Almecillin Sodium.

INN(Almecillin),USAN,MI.

随便看

 

离鸟网收录3541549条中英文词条,其功能与新华字典、现代汉语词典、牛津高阶英汉词典等各类中英文词典类似,基本涵盖了全部常用中英文字词句的读音、释义及用法,是语言学习和写作的有利工具。

 

Copyright © 2004-2024 vtrois.com All Rights Reserved
更新时间:2026/4/19 8:40:30