网站首页  词典首页


请输入您要查询的字词:

 

字词 青霉素G钾
类别 中英文字词句释义及详细解析
释义 青霉素G钾

C16H17KN2O4S=372.48

CAS-113-98-4

CAS-61-33-6(penicillin G)

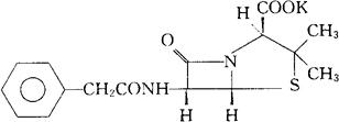
[2S-(2α,5α,6β)]-3,3-二甲基-7-氧代-6-[(苯基乙酰)氨基]-4-硫杂-1-氮杂双环[3.2.0]庚烷-2-羧酸单钾盐。

[2S-(2α,5α,6β)]-3,3-Dimethyl-7-oxo-6-[(phenylacetyl)amino]-4-thia-1-azabicyclo[3.2.0]heptane 2-carboxylic acid,monopotassium salt.

(2S,5R,6R)-3,3-二甲基-7-氧代-6-(苯基乙酰胺)-4-硫杂-1-氮杂双环[3.2.0]庚烷-2-羧酸单钾盐。

Monopotassium(2S,5R,6R)-3,3-dimethyl-7-oxo-6-(phenylacetamido)-4-thia-1-azabicyclo[3.2.0]heptane-2-carboxylate.

抗生素类药。

青霉素钠。

Penicillin G Potassium,Cilloral,Liquapen,Pentids,Pfizerpen,Sugracillin Benzylpenicillin Potassium.

USAN,USP.MI.

随便看

 

离鸟网收录3541549条中英文词条,其功能与新华字典、现代汉语词典、牛津高阶英汉词典等各类中英文词典类似,基本涵盖了全部常用中英文字词句的读音、释义及用法,是语言学习和写作的有利工具。

 

Copyright © 2004-2024 vtrois.com All Rights Reserved
更新时间:2026/4/20 9:20:48