网站首页  词典首页


请输入您要查询的字词:

 

字词 需要的热量
类别 中英文字词句释义及详细解析
释义 需要的热量

(一)挤出机料筒加热器

3.85~7瓦/厘米2(25~45瓦/吋2)(见表3-7)

表3-7

(二)片材及平膜模头

4.65~6.2瓦/厘米2(30~40瓦/吋2)

(三)料筒的加热

对于熔体环的稳定状态条件(例如,柱塞式注塑机分流芯,吹胀挤出机机头的近似条件)由福瑞尔(Fourier)定律可得:

式中:

QH=单位时间的热流量

k=塑料的导热系数

t=塑料环的厚度(1)

T1=塑料环的外表面温度

T2=塑料环的内表面温度

A=加热料筒的面积

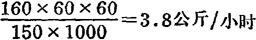
示例 聚乙烯(k=0.0008卡/厘米2/秒/厘米/℃)厚度2毫米,温度差100℃,料筒面积400厘米2

由表1-10,聚乙烯塑化约需热量150卡/克。因此,加热料筒将按下列速度进行塑化:

随便看

 

离鸟网收录3541549条中英文词条,其功能与新华字典、现代汉语词典、牛津高阶英汉词典等各类中英文词典类似,基本涵盖了全部常用中英文字词句的读音、释义及用法,是语言学习和写作的有利工具。

 

Copyright © 2004-2024 vtrois.com All Rights Reserved
更新时间:2026/4/19 0:17:58