网站首页  词典首页


请输入您要查询的字词:

 

字词 雷米普利
类别 中英文字词句释义及详细解析
释义 雷米普利

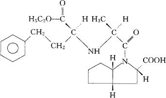
C23H32N2O5=416.52

CAS-87333-19-5

[2S-[1[R*(R*)],2α,3aβ,6aβ]]-1-[2-[[1-(乙氧基

羰基)-3-苯基丙基]氨基]-1-氧代丙基]八氢环戊二烯并[b]吡咯-2羧酸。

[2S-[1[R*(R*)],2α,3aβ,6aβ]]-1-[2-[[1-(Ethoxycarbonyl)-3-phenylpropyl]amino]-1-oxopropyl]octahydrocyclopenta[b]pyrrole-2-carboxylic acid.

(2S,3aS,6aS)-1[(S)-N-[(S)-1-羟基-3苯基丙基]丙氨酰]八氢环戊烷并[b]-吡咯-2-羧酸,1-乙基酯。

(2S,3aS,6aS)-1-[(S)-N-[(S)-1-Carboxy-3-phenylpropyl]alanyl]octahydrocyclopenta[b]pyrrole-2-carboxylic acid,1-ethyl ester.

抗高血压药。

Ramipril,HOE 498.

INN,BAN,USAN.

随便看

 

离鸟网收录3541549条中英文词条,其功能与新华字典、现代汉语词典、牛津高阶英汉词典等各类中英文词典类似,基本涵盖了全部常用中英文字词句的读音、释义及用法,是语言学习和写作的有利工具。

 

Copyright © 2004-2024 vtrois.com All Rights Reserved
更新时间:2026/4/19 13:23:48