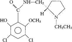
雷氯必利
C15H20Cl2N2O3=347.24 CAS-84225-95-6 (-)-(S)-3,5-二氯-N-[(1-乙基-2-吡咯烷基)甲基]-6-羟-邻-茴香酰胺。 (-)-(S)3,5-Dichloro-N-[(1-ethyl-2-pyrrolidinyl)methyl]-6-hydroxy-o-anisamide. N-乙基-2-(3,5-二氯-6-羟-2-甲氧苯甲酰胺甲基)吡咯烷。 N-Ethyl-2-(3,5-dichloro-6-hydroxy-2-methoxybenzamidomethyl)pyrrolidine. 3,5-二氯-N-[(1-乙基-2-吡咯烷基)甲基]-2-基-6-甲氧苯酰胺。 3,5-Dichloro-N-[(1-ethyl-2-pyrrolidinyl)methyl]-2-hydroxy-6-methoxybenzamide. 抗精神病药,多巴胺拮抗药。 Raclopride. INN,BAN,USAN.  |