网站首页  词典首页


请输入您要查询的字词:

 

字词 雷复尼特
类别 中英文字词句释义及详细解析
释义 雷复尼特

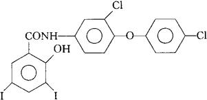
C19H11Cl2l2NO3=626.02

CAS-22662-39-1

N-[3-氯-4-(4-氯苯氧)苯基]-2-羟-3,5-二碘苯甲酰胺。

N-[3-Chloro-4-(4-chlorophenoxy)phenyl]-2-hydroxy-3,5-diiodobenzamide.

3′-氯-4′-(对-氯苯氧)-3,5-二碘水杨酰苯胺。

3′-Chloro-4′-(p-chlorophenxoy)-3,5-diiodosalicylanilide.

抗蠕虫药。

Rafoxanide,Disalan,Flukanide,Ranide,Raniden,Ursovermit,MK 990.

INN,BAN,USAN.

随便看

 

离鸟网收录3541549条中英文词条,其功能与新华字典、现代汉语词典、牛津高阶英汉词典等各类中英文词典类似,基本涵盖了全部常用中英文字词句的读音、释义及用法,是语言学习和写作的有利工具。

 

Copyright © 2004-2024 vtrois.com All Rights Reserved
更新时间:2026/4/19 15:39:59