雷嗪地尔
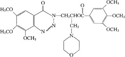
C27H34N4O10=574.59 CAS-30271-85-3 3,4,5-三甲氧苯甲酸1-(4-吗啉甲基)-2-(6,7,8-三甲氧-4-氧代-1,2,3-苯并三嗪-3(4H)-基)乙酯。 1-(4-Morpholinylmethyl)-2-(6,7,8-trimethoxy-4-oxo-1,2,3-benzotriazin-3(4H)-yl)ethyl3,4,5-trimethoxybenzoate. 3,4,5-三甲氧基苯甲酸与3-(2-羟-3-吗啉代丙基)-6,7,8-三甲氧-1,2,3-苯并三嗪-4(3H)-酮的酯。 3,4,5-Trimethoxybenzoic acid ester with 3-(2-hydroxy-3-morpholinopropyl)-6,7,8-trimethoxy-1,2,3-benzotriazin-4(3H)-one. 冠脉扩张药,抗心绞痛病药。 Razinodil,CAS 7709. INN,USAN.  |