雷公藤内酯醇[中]
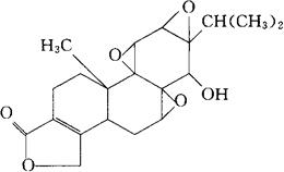
C20H24O6=360.39 [3bR-(3bα,4aα,5aS,6β,6aβ,7aβ,7bα,8aS,8bβ)]-3b,4,4a,6,6a,7a,7b,8b,9,10十氢-6-羟8b-甲基-6a(1-甲基乙基)三环氧乙烯[4b,5∶6,7∶8a,9]菲并[1,2-c]呋喃-1[3H]-酮。 [3bR-(3bα,4aα,5aS,6β,6aβ,7aβ,7bα,8aS,8bβ)]-3b,4,4a,6,6a,7a,7b,8b,9,10-Decahydro-6-hydroxy8b-methyl-6a(1-methylethyl)trisoxireno[4b,5∶6,7∶8a,9]phenanthro[1,2-cfuran-1[3H]-one. 用于治疗银屑病。 雷藤素甲,雷公藤甲素,雷公藤内酯。 Triptolide. 雷公藤内酯醇软膏。  |