网站首页  词典首页


请输入您要查询的字词:

 

字词 雪莲花
类别 中英文字词句释义及详细解析
释义 雪莲花

【名称出处】:《纲目拾遗》

【概况】:

异名 雪莲(《西北域记》),雪荷花(《纲目拾遗》),大拇花(《修订增补天宝本草》),大木花(《四川中药志》),玄果搜花(《晶珠本草》),麦多冈拉、瞎果羔贝、瞎尔古斯哈、恰羔素巴(藏族名),杯唾勒(纳西族名),楔楞花(普米族名)。

基源 为菊科风毛菊属植物绵头雪莲花、雪荷花或水母雪莲花及同属数种的带花序的全株。

原植物 绵头雪莲花Saussurea laniceps Hand.-Mazz,雪荷花S.involucrata Kar.et Kir.,又名天山雪莲花(《中国民族药志》),水母雪莲花S.medusa Maxim.

历史 雪莲花为藏医常用药,早在唐朝(8世纪)哈洋马哈也那等著的《月王药诊》、唐朝(9世纪)玉妥·云丹贡布等编著的《四部医典》等藏医药著作中就已记载,清朝(19世纪)带玛·丹增彭措所著《晶珠本草》称玄果搜花:“玄果搜花,生于高寒地区积雪碎石带,全株有棉花一样的毛绒,似棉团状,花序圆球形,花紫红色,整棵植株像老鹰蹲在地上一样……”据考玄果搜花的原植物应是:水母雪莲花、雪莲花(Saussureagossypiphora D.Don)或川西雪莲花S.hypsipeta Diels)。近期出版的一些医药书籍,雪莲花原植物的收载,也各有不同,《中药大辞典》收载:绵头雪莲花、雪荷花或水母雪莲花外,提及尚有三指雪莲花(S.tridactyla Sch.-Bip.)和毛头雪莲花(S.eriocephala Franch.)等,《中国民族药志》收载:水母雪莲花、棉头雪莲花或三指雪莲花,另单列雪荷花。南京药学院《中草药学》则只收绵头雪莲花,实际商品药材中,也还有同属的其它一些种,因此雪莲花的原植物,还有待进一步研究。

形态 绵头雪莲花:多年生草本,根状茎粗壮,颈部被褐色残叶柄。高15~30cm,茎粗,直立,上部有白色密绵毛。

叶极密集,基部渐狭成柄;叶片倒披针形或匙形,长8~15cm,宽15~20mm,顶端稍尖,边缘有波状浅齿,表面被蛛丝状绵毛,背面密生褐色绒毛。头状花序多数,在茎上部密集成椭圆形穗状花序,苞叶线状披针形,被白色绵毛,总苞半球形,总苞片多层,外层的线状披针形,长约25mm,被白色密绵毛,顶端渐尖,内层的披针形,顶端线状长渐尖,被黑褐色长毛;全为管状花,长10~12mm,白色。瘦果扁平,长约3mm;冠毛黑褐色,外层的短,易脱落,内层的羽毛状。花果期7~9月。(图见《中国高等植物图鉴》.第4册.621页.图6655)

生境与分布 生于高海拔的流石滩或石隙中。分布于四川、云南、西藏。

雪荷花与绵头雪莲花的主要区别在于:叶无柄,长圆形或卵状长圆形,长可达14cm,宽20~35mm,顶端钝或稍尖,基部下延,边缘有尖齿,两面无毛,齿间有头状腺毛,最上部有13~17枚排成2层的膜质苞叶,卵圆形或长卵形,长10~14cm,宽5~7cm,淡黄白色或微绿白色,边缘和表面叶脉处有柔毛;头状花序10~20个在茎顶密集成球状,无梗;总苞半球形,总苞片3~4层,披针形,顶端尖,边缘或全部黑色,被白色疏长毛;全为管状花,长约14mm,紫色。瘦果长圆形,长约5mm,具肋;冠毛污白色,外层的短,糙毛状,内层的羽毛状。花果期7~9月。(图见《中国高等植物图鉴》.第4册.617页.图6648)生于海拔2600~4000m的高山冰碛石砾坡及石隙土缝中。分布于新疆。蒙古和前苏联中亚及西伯利亚东部也有分布。

水母雪莲花与绵头雪莲花和雪荷花的主要区别:丛生草本,高8~20cm,根状茎细长,有褐色残叶柄,颈部分枝,发出数个莲座状叶丛。茎直立,被白色绵毛。

叶密集,茎下部叶基部渐狭成长柄,叶片倒卵形或卵状菱形,连柄长可达10cm,宽3~30mm,顶端钝圆,上半部边缘有8~12个粗齿,基部楔形,两面密被白色绵毛;上部叶渐小,下反。头状花序多数,在茎顶密集成球状;瘦果大,长7~9mm;冠毛白色。花果期7~9月。(图见《中国高等植物图鉴》.第4册.620页.图6654)生于海拔4000~5600m的高山流石滩。

分布于中国青海、甘肃、四川、云南、西藏。克什米尔地区也有分布。。

【生药】:

采集 6~7月间开花时采收,拔起全株,除去泥沙,晾干。

贮藏 置阴凉干燥处,防霉、防蛀。

【化学】:

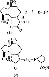
天山雪莲花Saussurea involucrata Kar.et Kin.全草含槲皮素、4′,5,7-三羟基-3′,6-二甲氧基黄酮、粗毛豚草素(Hispidulin)、芦丁(Rutin)[1]、大苞雪莲内酯-β-葡萄糖甙(1)[2]、槲皮素-3-O-α-L-鼠李糖甙(Quercetin3-O-α-L-rhamnoside)、11α,13-二氢去酰菜蓟苦素(11α,13-Dihydrodesacylcynaropicrin)[3]、3α-羟基-11β,13-二氢去氢木香内酯-8-β-D-葡萄糖甙(3α-Hydroxy-11β,13-dihydrodehydrocostus-lactone-8-β-D-glucoside)、大苞雪莲碱(Involucratine)(2)[4]、去氢木香内酯(Dehydrocostus lactone)、16种氨基酸、雪莲内酯(Xuelianlactone)[5]

地上部分含正丁基-β-D-吡喃果糖甙(n-Butyl-β-D-fructopyranoside)、紫丁香甙(Syringin)[6]、11βH-11,13-二氢去氢木香内酯8-O-β-D-葡萄糖甙(11βH-11,13-Dihydrodehydrocostuslactone 8-O-β-D-glucoside)、3α,8α-二羟基-11βH-11,13-二氢去氢木香内酯(3α,8α-Dihydroxy-11βH-11,13-dihydrodehydrocostuslactone)、3α-羟基-11βH-11,13-二氢去氢木香内酯-8-O-D葡萄糖甙(3α-Hydroxy-11βH-11,13-dihydrodehydrocostuslactone-8-O-D-glucoside)、Involucratin(即Involucratine)、去氢木香内酯(Dehydrocostuslactone)、二氢去氢木香内酯(Dihydrodehydrocostuslactone)、8α-羟基-11βH-11,13-二氢去氢木香内酯(8α-Hydroxy11βH-11,13-dihydrodehydrocostuslactone)[7]、大苞雪莲内酯(Involucratolactone)[8]

挥发油含24种成分,其中有二氢去氢广木香内酯、倍半萜烯、月桂酸乙酯、肉豆寇酸乙酯等[9]

水母雪莲花S.medusa Maxim.(S.trullifolia W.W.Smith)地上部分含金圣草黄素-7-O-β-D-葡萄糖甙(Chrysoeriol-7-O-β-D-glucoside)、芹菜素-7-O-β-D-葡萄糖甙(Apigenin 7-O-β-D-glucoside)、木犀草素-7-O-β-D-葡萄糖甙(Luteolin 7-O-β-D-glucoside)、芸香甙(Rutin)[10]、木犀草素-7-Oα-L-吡喃鼠李糖基-(1→2)-β-D-吡喃葡萄糖甙(Luteolin-7-O-α-Lrhamnopyranosyl-(1→2)-β-D-glucopyranoside)、芹菜素-7-O-α-L-吡喃鼠李糖基-(1→2)-β-D-吡喃葡萄糖甙(Apigenin-7-O-α-L-rharnnopyranosyl(1→2)-β-D-glucopyranoside)、槲皮素-3-O-β-D-吡喃葡萄糖甙(Quercetin3-O-β-D-glucopyranoside)、芹菜素(Apigenin)、木犀草素(Luteolin)、牛蒡甙(Arctiin)[11,12]

绵头雪莲花S.laniceps Hand.-Mazz.(S.gossypiphora anct.non D.Don)全草含东莨菪素(Scopoletin)、伞形花内酯(Umbelliferone)、对羟基苯乙酮(p-Hydroxyacetophenone)、三十一烷(n-Hentriacontane)、大黄素甲醚(Physcion)、β-谷甾醇[13]、芹菜素(Apigenin)、芹菜素-7-葡萄糖甙(Apigenin-7-O-β-D-glucoside)、伞形花内酯7-葡萄糖甙(Umbelliferone7-O-β-glucoside)[14]、豆甾烷醇(3-Stigmastanol)、豆甾-7-烯-3-醇(Stigmast-7-en-3-o1)、麦角甾烷-3,24-二醇(Ergostan-3,24-diol)[15]

参考文献 [1] 高等学校化学学报 1983;4(5):581 [2] 高等学校化学学报 1985;6(5):417 [3] 高等学校化学学报 1988;9(2):198 [4] 高等学校化学学报 1989;10(9):909 [5] 药学学报 1986;21(9):680 [6] 中草药 1990;21(12):4 [7] Phytochemistry 1989;28(12):3395 [8] 高等学校化学学报 1989;10(7):772 [9] 兰州大学学报(自然科学版) 1986;22(3):100 [10] 高等学校化学学报 1986;7(9):789 [11] 兰州大学学报(自然科学版) 1984;20(4):128 [12] 高等学校化学学报 1990;11(2):202 [13] 中草药 1986;17(7):8 [14] 植物学报 1989;31(5):398 [15] 中国中药杂志 1991;16(6):356。【药理】:

❶ 终止妊娠作用 25%雪莲水煎剂ip 0.3ml/只,连续2d,对小鼠各个时期的妊娠以及兔的早期妊娠都有终止作用;25%,0.1ml小鼠宫内局部用药,同样终止妊娠。

外源性孕酮对雪莲所致的小鼠早期流产具有保护作用,提示雪莲终止早期妊娠的机理可能由于对抗了体内孕酮的缘故[1,2]。此外,在大鼠假孕-蜕膜反应的模型上观察到50%雪莲水煎剂ip 1.5ml/只,每日2次,共3d可抑制蜕膜的形成,但不能使已形成的蜕膜溶解[3]
❷ 对离体子宫的作用 雪莲水煎剂3.125、6.25、7.5mg/ml可使大鼠动情期离体子宫产生强而规律的收缩,作用持续1h以上,但肌张力不增加,25mg/ml则使大鼠子宫产生较强的节律性收缩,以后逐渐减弱而停止,不引起痉挛,其作用特点与垂体后叶素不同[4]

此外,雪莲多糖1g/ml可使动情期离体大鼠子宫收缩力加强,频率加快,PGE2可增强多糖的作用,而消炎痛则抑制,提示其对子宫的影响除直接作用外,可能促进内源性前列腺素的合成[5]
❸ 对其它平滑肌的作用 10%雪莲总生物碱对离体兔肠活动有抑制作用,能明显对抗组织胺、毛果芸香碱、乙酰胆碱和垂体后叶素引起的肠肌痉挛,对抗氯化钡引起的肠肌强直收缩,但不对抗毛果芸香碱引起的唾液分泌增加,可见是对平滑肌的直接作用[6]。5%总生物碱加入麦氏浴槽,可部分对抗组织胺所致豚鼠气管环收缩[7]

❹ 抗炎、镇痛作用 雪莲总碱100mg/kg ip或雪莲醇提所得干粉10g/kgip,连续3d均可抑制蛋清所致大鼠足垫肿胀及二甲苯所致家兔皮肤毛细血管通透性增高[7,8]。雪莲黄酮5mg/kgip可明显抑制大鼠蛋清性肿胀,而对去肾上腺大鼠的肿胀无影响;20mg/kgip,连续3d对醋酸所致小鼠腹腔毛细血管通透性增高无显著作用,10mg/kg ip,连续3d可使大鼠肾上腺中Vit C含量明显降低,提示黄酮为雪莲抗炎的主要成分之一,其抗炎不是由于血管通透性的改变,主要促进肾上腺皮质激素的合成[9]

此外以热板法证实小鼠ip 8g/kg雪莲注射液,给药后15min出现镇痛作用,1h后作用消失[10],雪莲黄酮20mg/kg ip对小鼠亦有镇痛作用[9]。雪莲黄酮甙A150,100mg/kg ig,可使小鼠自主活动次数明显减少,并能增强戊巴比妥钠的中枢抑制作用,使翻正反射发生率明显减少,在小鼠学习能力试验中,可见小鼠总反应时间、非条件反射潜伏期延长,形成条件反射总次数减少,逃避性条件反射顺序号数值加大,表明本品有中枢抑制作用[11]

❺ 对心血管系统的作用 10%总碱,5%,20%总黄酮均可降低麻醉兔和犬的血压,其降压作用可部分被心得安阻断;10%总碱对离体兔心脏亦有较强的抑制作用,可使心肌收缩幅度降低、心率减慢、去甲肾上腺素可对抗此作用[6]

毒性 雪莲注射液中,对小鼠的LD50为18 75g/kg[10]

参考文献 [1] 北京医学院学报 1976;(4):223 [2] 北京医学院学报 1976;(4):227 [3] 北京医学院学报 1976;(4):230 [4] 北京医学院学报 1976;(1):43 [5] 药学学报 1986;21(3):220 [6] 新疆医学院学报 1978;(1):22 [7] 新疆医学院学报 1979;(2):63 [8] 药学学报 1980;15(6):368 [9] 西北药学杂志 1990;5(3):17 [10] 中草药 1981;12(2):30 [11] 中草药 1995;26(5):247

。【药性】:

性味 甘、苦,温。

❶ 《纲目拾遗》:“性大热。”
❷ 《新华本草纲要》:“带花全草:味甘、微苦,性温。”
❸ 《四川中药志》:“性温,味淡、酸。”
❹ 《新疆中草药手册》:“味微苦,性热。”

归经 《高原中草药治疗手册》:“入肝、脾、肾三经。”

功效 补肾壮阳,调经止血。

主治 阳痿,月经不调,崩漏,白带,风湿性关节炎,外伤出血,雪盲,牙痛。 ❶ 《纲目拾遗》:“治一切寒症。又陈海曙云:治痘不起发及闷瘩闷痘,用一瓣入煎药中。”
❷ 《新疆中草药手册》:“治风湿性关节炎,妇女小腹冷痛,闭经,胎衣不下,麻疹不透,肺寒咳嗽,阳痿。”
❸ 《云南中草药》:“治月经不调,雪盲,牙痛,外伤出血。”

用法用量 内服:煎汤,0.6~1.5g;或浸酒。

外用:捣敷。

使用注意 《新疆中草药手册》:“孕妇忌服。过量可致大汗淋漓。

【临床应用】:

方选和验方 《高原中草药治疗手册》:“治阳痿:雪莲花、冬虫夏草,泡酒饮。”

单方应用 ❶ 《新疆中草药手册》:“治风湿性关节炎,妇女小腹冷痛,闭经,胎衣不下:雪莲(即雪莲花)15g,加白酒或黄酒100ml,泡7天。每服10ml,1日2次。”
❷ 《云南中草药》:“治雪盲,牙痛:雪莲花6~12g。生吃或水煎服。


❸ 《云南中草药》:“治外伤出血:雪莲花适量,敷患处。”

食疗 《高原中草药治疗手册》:“治妇女崩带:雪莲花、峨参、党参,炖鸡吃。”

随便看

 

离鸟网收录3541549条中英文词条,其功能与新华字典、现代汉语词典、牛津高阶英汉词典等各类中英文词典类似,基本涵盖了全部常用中英文字词句的读音、释义及用法,是语言学习和写作的有利工具。

 

Copyright © 2004-2024 vtrois.com All Rights Reserved
更新时间:2026/4/17 19:44:24