网站首页  词典首页


请输入您要查询的字词:

 

字词 雇佣成本指数
类别 中英文字词句释义及详细解析
释义 雇佣成本指数

为了衡量在固定职业结构情况下企业主付给雇佣人员的劳动报酬的平均变动程度的指数。

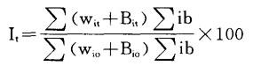
美国劳动部劳工统计局于1976年首次公布这项指数,1982年6月起定期刊登在《每月劳工评论》上。这项指标的编制方法是先确定雇佣人员的职业和部门结构,用抽样调查收集各种职业的小时报酬变动情况,采用固定基期加权平均法,亦即拉氏公式来计算指数或以固定的职业结构作权数计算各种职业小时报酬变动的算术平均数。其计算公式为:

式中It为全部报酬指数,wio为第Ⅰ种职业基期的工薪,wit为第Ⅰ种职业计算期的工薪,Bio为第Ⅰ种职业基期的小时福利金,Bit为第Ⅰ种计算期的小时福利金,ib为第Ⅰ种职业基期的就业比重。

雇佣成本指数仅限于非农业领域,雇佣人员包括所有工薪工作人员,但不包括自雇业主、无报酬的家属工作人员和家务工人。雇佣人员的工薪未扣除应缴各项税费和费用,包括奖金、补贴、福利金;福利金包括雇主支付的保险费、退休金及法定其他福利(如社会保障、失业保险等)。

雇佣成本指数系一个比较完整的指数体系,分为标准指数和特别指数。

标准指数包括按职业和部门分类的工薪指数和全部报酬指数。特别指数系指按工会会员、非会员、地区、都市、非都市分类的指数。

上列公式为标准指数中的全部报酬指数,其余指数类推。特别指数则按另行制定的方法来计算。

随便看

 

离鸟网收录3541549条中英文词条,其功能与新华字典、现代汉语词典、牛津高阶英汉词典等各类中英文词典类似,基本涵盖了全部常用中英文字词句的读音、释义及用法,是语言学习和写作的有利工具。

 

Copyright © 2004-2024 vtrois.com All Rights Reserved
更新时间:2026/4/19 15:18:59