网站首页  词典首页


请输入您要查询的字词:

 

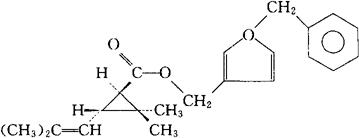
字词 除虫菊酯
类别 中英文字词句释义及详细解析
释义 除虫菊酯

C22H26O3=338.45

CAS-28434-01-7

(5-苄基-3-呋喃基)甲基(+)-反式-2,2-二甲基-3-(2-甲-丙烯基)环丙烷羧酸酯。

(5-Benzyl-3-furyl)methyl(+)-trans-2,2-dimethyl3-(2-methylpropenyl)cyclopropanecarboxylate.

杀虫药。

Bioresmethrin.

INN,USAN,MI.

随便看

 

离鸟网收录3541549条中英文词条,其功能与新华字典、现代汉语词典、牛津高阶英汉词典等各类中英文词典类似,基本涵盖了全部常用中英文字词句的读音、释义及用法,是语言学习和写作的有利工具。

 

Copyright © 2004-2024 vtrois.com All Rights Reserved
更新时间:2026/4/19 11:34:44