网站首页  词典首页


请输入您要查询的字词:

 

字词 除线磷
类别 中英文字词句释义及详细解析
释义 除线磷

有机磷杀线虫剂。

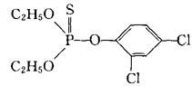
化学名称:O,O-二乙基-O-(2,4-二氯苯基)硫逐磷酸酯。化学结构式如下。原药为无色液体,难溶于水,溶于大多数有机溶剂。对热稳定。

作土壤处理剂,防治土壤寄生线虫和土传真菌引起的植物病害,亦能防治地下害虫。

随便看

 

离鸟网收录3541549条中英文词条,其功能与新华字典、现代汉语词典、牛津高阶英汉词典等各类中英文词典类似,基本涵盖了全部常用中英文字词句的读音、释义及用法,是语言学习和写作的有利工具。

 

Copyright © 2004-2024 vtrois.com All Rights Reserved
更新时间:2026/4/18 8:26:17