网站首页  词典首页


请输入您要查询的字词:

 

字词 陡度法
类别 中英文字词句释义及详细解析
释义 陡度法

两点的试验结果(函数值)之差与这两点的距离之比叫陡度。

设有一个双因素问题,我们在A1(x1,y1)和A2(x11,y11)两点做2个试验,得到的试验结果为Z1和Z2(见图1),A1到A2方向的陡度为:

以温度因素和氮气流量因素对硼扩散的影响为例,说明陡度法的应用。

温度和氮气流量影响的衡量指标是成品率。

温度变化范围是900-980℃

氮气流量在30-100个泡/分钟

从现生产采用的条件点A0(930℃,65个泡/分)周围选A1、A2、A3和A44个点,试验结果为:

A1(930,57)∶Z=72%

A2(930,73)∶Z2=50%

A3(920,65)∶Z3=39%

A4(950,65)∶Z4=22%

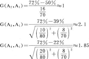
各点间的陡度为

(见图2),可见G(A3,A1)方向陡度最大,故在此方向继续试验。只有不断扩大探测范围,反复探测,才能找到最优点。

随便看

 

离鸟网收录3541549条中英文词条,其功能与新华字典、现代汉语词典、牛津高阶英汉词典等各类中英文词典类似,基本涵盖了全部常用中英文字词句的读音、释义及用法,是语言学习和写作的有利工具。

 

Copyright © 2004-2024 vtrois.com All Rights Reserved
更新时间:2026/4/21 1:12:25