网站首页  词典首页


请输入您要查询的字词:

 

字词 限流式网槽设计计算实例
类别 中英文字词句释义及详细解析
释义 限流式网槽设计计算实例

【例】 如图1-16-10所示,已知限流式网槽的网笼直径D=1.25m,抄宽Bm=2.10m,网槽宽BV=2.22m,网内真空度H0=0.1m,网内外水位比η=0.25,单网定量q=80g/m2,水分ω1=7%,进浆浓度C=4g/L,要求网速V=50m/min=0.833m/s,浆料打浆度为50°SR,浆网速比Φ=0.86,假定纤维上网率Q=0.75,试计算:
❶ 生产能力;
❷ 成形弧长L;
❸ 总成形角θ;
❹ 所需绝干纤维G;
❺ 总进浆量M;
❻ 成形区进出口宽度d0、d
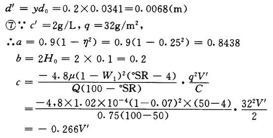
❼ 若用本例算得的限流式网槽,代替普通的活动弧形板式网槽,进浆浓度C=2g/L,生产32g/m2的薄页纸,其它条件不变时,试计算其车速可达到多少?

代入方程aL2+bL+c=0得:

0.8438×0.7952+0.2×0.795-0.266V=0

0.5333+0.159=0.266V

故:V=2.60(m/s)=156(m/min)

随便看

 

离鸟网收录3541549条中英文词条,其功能与新华字典、现代汉语词典、牛津高阶英汉词典等各类中英文词典类似,基本涵盖了全部常用中英文字词句的读音、释义及用法,是语言学习和写作的有利工具。

 

Copyright © 2004-2024 vtrois.com All Rights Reserved
更新时间:2026/4/19 8:02:33