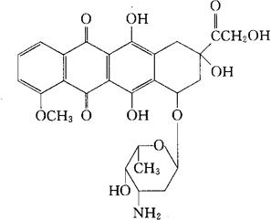
阿霉素
C27H29NO11=543.53 CAS-23214-92-8 (8S,10S)-10-[(3-氨基-2,3,6-三去氧-α-L-来苏-吡喃己糖基)氧]-8-乙醇酰-7,8,9,10-四氢-6,8,11-三羟-1-甲氧-5,12-并四苯二酮。 (8S,10S)-10-[(3-Amino-2,3,6-trideoxy-α-L-lyxohexopyranosyl)oxy]-8-glycoloyl-7,8,9,10-tetrahydro-6,8,11-trihydroxy-1-methoxy-5,12-naphthacenedione. 抗肿瘤药。用于急慢性白血病、恶性淋巴瘤等。 阿德里亚霉素,14-羟正定霉素,羟柔红比霉素,羟柔比星。 Doxorubicin,Adriblastina,14-Hydroxydaunomycin. INN,BAN,JAN,NFN,USAN,USP,MI.  |