网站首页  词典首页


请输入您要查询的字词:

 

字词 阿醋美沙朵
类别 中英文字词句释义及详细解析
释义 阿醋美沙朵

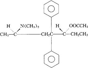
C23H31NO2=353.50

CAS-17199-58-5

(3R,6R)-3-乙酰氧基-6-二甲氨基-4,4-二苯基庚烷。

(3R,6R)-3-Acetoxy-6-dimethylamino-4,4-diphenylheptane.

镇痛药(麻醉性)。

阿发美沙酯。

Alphacetylmethadol,Alphacemethadone.

INN,BAN,DCF,USAN.

随便看

 

离鸟网收录3541549条中英文词条,其功能与新华字典、现代汉语词典、牛津高阶英汉词典等各类中英文词典类似,基本涵盖了全部常用中英文字词句的读音、释义及用法,是语言学习和写作的有利工具。

 

Copyright © 2004-2024 vtrois.com All Rights Reserved
更新时间:2026/4/20 3:16:59