网站首页  词典首页


请输入您要查询的字词:

 

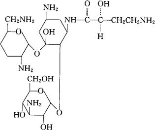
字词 阿贝卡星
类别 中英文字词句释义及详细解析
释义 阿贝卡星

C22H44N6O10=552.63

CAS-51025-85-5

O-3-氨基-3-去氧-α-D-吡喃葡糖基-(1→4)-O-[2,6-二氨基-2,3,4,6-四去氧-α-D-赤-吡喃己糖基-(1→6)]-N′[(2S)-4-氨基-2-羟基丁酰]-2-去氧-L-链霉胺。

O-3-Amino-3-deoxy-α-D-glucopyranosyl-(1→4)-O[2,6-diamino-2,3,4,6-tetradeoxy-α-D-erythro-hexopyranosyl-(1→6)]-,N′-[(2S)-4-amino-2-hydroxybutyryl]-2-deoxy-L-streptamine.

抗生素类药。

Arbekacin.

INN,USAN.

随便看

 

离鸟网收录3541549条中英文词条,其功能与新华字典、现代汉语词典、牛津高阶英汉词典等各类中英文词典类似,基本涵盖了全部常用中英文字词句的读音、释义及用法,是语言学习和写作的有利工具。

 

Copyright © 2004-2024 vtrois.com All Rights Reserved
更新时间:2026/4/19 6:02:17