阿西美辛
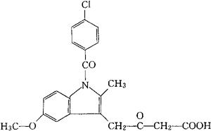
C21H18ClNO6=415.83 CAS-53164-05-9 1-(对-氯苯甲酰基)-5-甲氧基-2-甲基吲哚-3-醋酸的甘醇酸酯。 1-(p-Chlorobenzoyl)-5-methoxy-2-methylindole-3-acetic acid ester with glycolic acid. 1-(4-氯苯甲酰基)-5-甲氧基-2-甲基-1H-吲哚-3-乙酸羧甲基酯。 1-(4-Chlorobenzoyl)-5-methoxy-2-methyl-1H-indole-3-acetic acid carboxymethyl ester. 消炎镇痛药。 醋炎痛。 Acemetacin,Altren,Analgel,Flamarion,Rantudil,Rheutrop,Tilur,Bay,f4975,K 708,TVX1322. INN,BAN,USAN.  |