网站首页  词典首页


请输入您要查询的字词:

 

字词 阿莫齐特
类别 中英文字词句释义及详细解析
释义 阿莫齐特

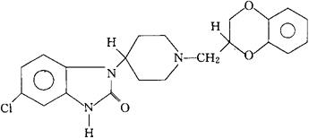
C21H22ClN3O3=399.88

CAS-85076-06-8

(±)-1-[1-(1,4-苯并二噁烷-2-基甲基)-4-哌啶基]-5-氯-2-苯并咪唑啉酮。

(±)-1-[1,-(1,4-Benzodioxan-2-ylmethyl)-4-piperidyl]-5-chloro-2-benzimidazolinone.

抗精神病药。

Axamozide.

INN,USAN.

随便看

 

离鸟网收录3541549条中英文词条,其功能与新华字典、现代汉语词典、牛津高阶英汉词典等各类中英文词典类似,基本涵盖了全部常用中英文字词句的读音、释义及用法,是语言学习和写作的有利工具。

 

Copyright © 2004-2024 vtrois.com All Rights Reserved
更新时间:2026/4/17 18:47:43