网站首页  词典首页


请输入您要查询的字词:

 

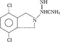
字词 阿胍诺定
类别 中英文字词句释义及详细解析
释义 阿胍诺定

C9H10Cl2N4=245.11

CAS-86696-87-9

(4,7-二氯-2-异二氢吲哚基)胍。

(4,7-Dichloro-2-isoindolinyl)guanidine.

抗高血压药,拟交感神经药。

Aganodine,BOF 7570.

INN,USAN.

随便看

 

离鸟网收录3541549条中英文词条,其功能与新华字典、现代汉语词典、牛津高阶英汉词典等各类中英文词典类似,基本涵盖了全部常用中英文字词句的读音、释义及用法,是语言学习和写作的有利工具。

 

Copyright © 2004-2024 vtrois.com All Rights Reserved
更新时间:2026/4/18 4:54:45