网站首页  词典首页


请输入您要查询的字词:

 

字词 阿美麦角德
类别 中英文字词句释义及详细解析
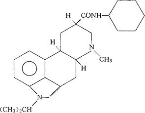
释义 阿美麦角德

C25H35N3O=393.57

CAS-121588-75-8

(8β)-N-环己基-6-甲基-1-(1-甲基乙基)-麦角灵-8-甲酰胺。

(8β)-N-cyclohexyl-6-methyl-1-(1-methylethyl)-ergoline-8-carboxamide.

N-环己基-1-异丙基-6-甲基麦角灵-8β-甲酰胺。

N-Cyclohexyl-1-isopropy1-6-methylergoline-8β-carboxamide.

5-羟色胺拮抗药。

Amesergide,LY237733.

USAN.

随便看

 

离鸟网收录3541549条中英文词条,其功能与新华字典、现代汉语词典、牛津高阶英汉词典等各类中英文词典类似,基本涵盖了全部常用中英文字词句的读音、释义及用法,是语言学习和写作的有利工具。

 

Copyright © 2004-2024 vtrois.com All Rights Reserved
更新时间:2026/4/18 7:01:56