阿美西林
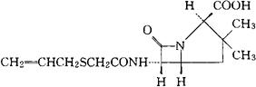
C13H18N2O4S2=330.42 CAS-87-09-2 3,3-二甲基-7-氧-6-[[(2-丙烯基硫代)乙酰基]氨基]-4-硫杂-1-氮杂双环[3.2.0]庚烷-2-羧酸。 3,3-Dimethyl-7-oxo-6-[[(2-propenylthio)acetyl]amino]-4-thia-1-azabicyclo[3.2.0]-heptane-2-carboxylic acid. 烯丙基硫甲基青霉素。 Allylthiomethyl penicillin. 抗生素类药。 青霉素O。 Almecillin,Penicillin O,Cer-O-Cillin,Penicillin AT. INN,USAN. 
|