阿维霉素
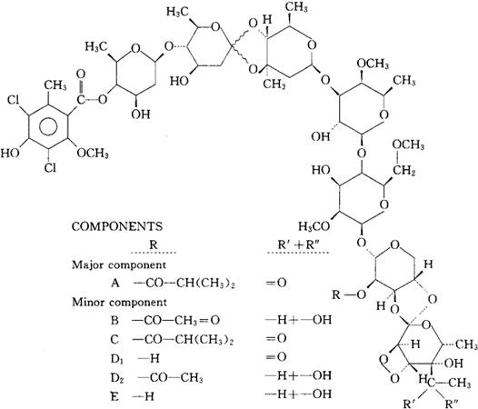
C61H88Cl2O32(Avilamycin A)=1404.25 CAS-11051-71-1 CAS-69787-79-7 [阿维霉素A]O-(IR)-4-C-乙酰-6-脱氧-2,3-O-亚甲基-D-吡喃半乳糖亚基-(1→3-4)-2-O-(2-甲基-1-氧丙基)-α-L-来苏吡喃糖基O-2,6-二脱氧-4-O(3,5-二氯-4-羟基-2-甲氧基-6-甲基苯甲酰基)-β-D-阿拉伯-己吡喃糖基-(1→4)-O-2,6-二脱氧-D-阿拉伯己吡喃糖亚基-(1→3-4)-O-2,6-二脱氧-3-C-甲基-β-D-阿拉伯-己吡喃糖基(1→3)-O-6-脱氧-4-O-甲基-β-D-吡喃半乳糖基-(1→4)-2,6-二-O-甲基-β-D-吡喃甘露糖苷。 [Avilamycin A]O-(1R)-4-C-acetyl-6-deoxy-2,3-Omethylene-D-galactopyranosylidene-(1→3-4)-2-O(2-methyl-1-oxopropyl)-α-L-lyxopyranosyl O-2,6-dideoxy-4-O-(3,5-dichloro-4-hydroxy-2-methoxy-6-methylbenzoyl)-β-D-arabino-hexopyranosyl-(1→4)-O-2,6-dideoxy-D-arabino-hexopyranosylidene-(1→3-4)-O-2,6-dideoxy-3-C-methyl-β-D-arabino-hexopyranosyl-(1→3)-O-6-deoxy-4-O-methyl-β-Dgalactopyranosyl-(1-→4)-2,6-di-O-meth-B-Dmannopyranoside. 抗菌药。 Avilamycin,LY 048 740. INN,BAN,USAN.  |