网站首页  词典首页


请输入您要查询的字词:

 

字词 阿米西酮
类别 中英文字词句释义及详细解析
释义 阿米西酮

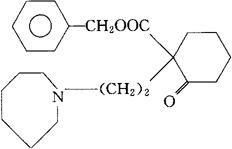
C22H31NO3=357.49

CAS-23271-63-8

1-[2-(六氢-1H-氮杂-1-基)乙基]2-氧环己烷-羧酸苯甲酯。

Benzyl-1-[2-(hexahydro-lH-azepin-l-yl)ethyl]-2-oxocyclohexanecarboxylate.

镇咳药。

Amicibone,Biotussal,Pectipront.

INN,USAN,MI.

随便看

 

离鸟网收录3541549条中英文词条,其功能与新华字典、现代汉语词典、牛津高阶英汉词典等各类中英文词典类似,基本涵盖了全部常用中英文字词句的读音、释义及用法,是语言学习和写作的有利工具。

 

Copyright © 2004-2024 vtrois.com All Rights Reserved
更新时间:2026/4/18 8:43:42