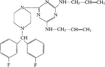
阿米三嗪
C26H29F2N7=477.56 CAS-27469-53-0 2,4-双(烯丙氨基)-6-[4-[双(对-氟苯基)甲基]-1-哌嗪基]-均-三嗪。 2,4-Bis(allylamino)-6-[4-[bis(p-fluorophenyl)methyl]-1-piperazinyl]-s-triazine. 6-[4-[双(4-氟苯基)甲基]-1-哌嗪基]-N,N-二-2-丙烯基-1,3,5-三嗪-2,4-二胺。 6-[4-(bis[4-Fluorophenyl)methyl]-1-piperazinyl]-N,N-di-2-propenyl-1,3,5-triazine-2,4-diamine. 中枢兴奋药,呼吸兴奋药。 烯丙哌三嗪,阿米启。 Almitrine,S 2620,SE5023,Vectarion. INN,BAN,USAN. 
|