网站首页  词典首页


请输入您要查询的字词:

 

字词 阿洛非康A
类别 中英文字词句释义及详细解析
释义 阿洛非康A

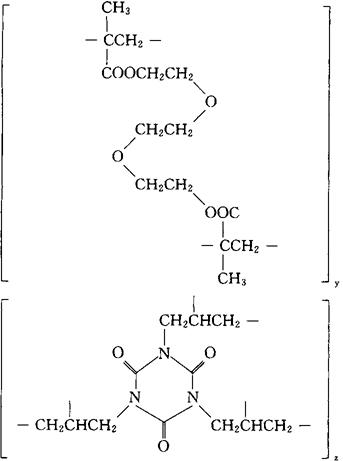
(C6H9NO)w(C5H8O2)x(C14H22O2)y(C12H15N3O3)z

CAS-67101-27-3

1-乙烯基-2-吡咯烷酮与异丁烯酸甲酯,三乙二醇二异丁烯酸酯和1,3,5-三丙烯基-均三嗪-2,4,6-(1H,3H,5H)-三酮的聚合物。

1-Vinyl-2-pyrrolidinone polymer with methyl methacrylate,triethylene glycol dimethacrylate and 1,3,5-triallyl-s-triazine-2,4,6(1H,3H,5H)-trione.

隐形眼镜材料。

Alfilcon A,WX 14812,SCL-70.

SUAN.

随便看

 

离鸟网收录3541549条中英文词条,其功能与新华字典、现代汉语词典、牛津高阶英汉词典等各类中英文词典类似,基本涵盖了全部常用中英文字词句的读音、释义及用法,是语言学习和写作的有利工具。

 

Copyright © 2004-2024 vtrois.com All Rights Reserved
更新时间:2026/4/19 19:50:20