网站首页  词典首页


请输入您要查询的字词:

 

字词 阿氯苯泞
类别 中英文字词句释义及详细解析
释义 阿氯苯泞

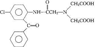
C19H17ClN2O6=404.81

CAS-87071-16-7

N-[2-[(2-苯甲酰基-4-氯苯基)氨基]-2-氧-乙基]-N(羟甲基)-,甘氨酸。

N-[2-[(2-Benzoyl-4-chlorophenyl)amino]-2-oxoethyl]-N-(carboxymethyl)-,glycine.

[[[(2-苯甲酰基-4-氯苯基)氨甲酰基]甲基]亚氨基]二醋酸。

[[[(2-Benzoyl-4-chlorophenyl)carbamoyl]methyl]imino]diacetic acid.

诊断用药。

阿氯非宁。

Arclofenin.

INN,USAN.

随便看

 

离鸟网收录3541549条中英文词条,其功能与新华字典、现代汉语词典、牛津高阶英汉词典等各类中英文词典类似,基本涵盖了全部常用中英文字词句的读音、释义及用法,是语言学习和写作的有利工具。

 

Copyright © 2004-2024 vtrois.com All Rights Reserved
更新时间:2026/4/19 4:08:03