网站首页  词典首页


请输入您要查询的字词:

 

字词 阿扎丙宗
类别 中英文字词句释义及详细解析
释义 阿扎丙宗

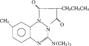
C16H20N4O2=300.36

CAS-13539-59-8

5-(二甲氨基)-9-甲基-2-丙基-1H-吡唑并[1,2-a][1,2,4]苯并三嗪-1,3(2H)-二酮。

5-(Dimethylamino)-9-methyl-2-propyl-1H-pyrazolo[1,2-a][1,2,4]benzotriazine-1,3(2H)-dione.

消炎药。用于治疗各种风湿病和其它骨骼肌的疼痛。

阿丙扎宗。

Azapropazon,Apazone,AHR-3018,MI-85,NSC102824,Prolixan.

INN,BAN,DCF,DCIT,JAN,USAN.

随便看

 

离鸟网收录3541549条中英文词条,其功能与新华字典、现代汉语词典、牛津高阶英汉词典等各类中英文词典类似,基本涵盖了全部常用中英文字词句的读音、释义及用法,是语言学习和写作的有利工具。

 

Copyright © 2004-2024 vtrois.com All Rights Reserved
更新时间:2026/4/18 10:46:18