网站首页  词典首页


请输入您要查询的字词:

 

字词 阿布硝唑
类别 中英文字词句释义及详细解析
释义 阿布硝唑

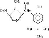
C15H19N3O4=305.33

CAS-91017-58-2

α-(5-叔-丁基-2-羟基苯基)-1-甲基-5-硝基咪唑-2-甲醇。

α-(5-tert-Butyl-2-hydroxyphenyl)-1-methyl-5-nitroimidazole-2-methanol.

抗感染药,抗原虫药。

Abunidazole,PN4478846.

INN,USAN.

随便看

 

离鸟网收录3541549条中英文词条,其功能与新华字典、现代汉语词典、牛津高阶英汉词典等各类中英文词典类似,基本涵盖了全部常用中英文字词句的读音、释义及用法,是语言学习和写作的有利工具。

 

Copyright © 2004-2024 vtrois.com All Rights Reserved
更新时间:2026/4/18 4:59:34