网站首页  词典首页


请输入您要查询的字词:

 

字词 阿布妥因
类别 中英文字词句释义及详细解析
释义 阿布妥因

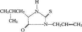
C10H16N2Os=212.31

CAS-830-89-7

5-(2-甲基丙基)-3-(2-丙烯基)-2-硫代-4-咪唑烷酮。

5-(2-Methylpropyl)-3-(2-propenyl)-2-thiox-4-imidazolidinone.

3-烯丙基-5-异丁基-2-硫代-4-咪唑烷酮。

3-Allyl-5-isobutyl-2-thioxo-4-imidazolidinone.

3-烯丙基-5-异丁基-2-乙内酰硫脲。

3-Allyl-5-isobutyl-2-thiohydantoin.

解痉药。

Albutoin,BAX 422Z,Co-ord,Euprex.

随便看

 

离鸟网收录3541549条中英文词条,其功能与新华字典、现代汉语词典、牛津高阶英汉词典等各类中英文词典类似,基本涵盖了全部常用中英文字词句的读音、释义及用法,是语言学习和写作的有利工具。

 

Copyright © 2004-2024 vtrois.com All Rights Reserved
更新时间:2026/4/19 2:33:43