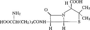
阿地西林
C14H21N3O6S=359.40 CAS-525-94-0 (4-氨基-4-羧丁基)青霉素。 (4-Amino-4-carboxybutyl)penicillin. 6-(氨基-5-羧基戊酰胺基)-3-3-二甲基-7-氧-4-硫杂-1-氮杂双环[3.2.o]庚烷-2-羧酸。 6-(Amino-5-carboxyvaleramido)-3,3-dimethyl-7-oxo-4-thia-1-azabicyclo[3.2.0]heptane-2-carboxylicacid. 抗生素类药。用于各种革兰氏阴性菌(包括伤寒杆菌及变形杆菌)的感染。 青霉素N,头孢菌素N. Adicillin,Penitillin N,Cephalosporin N,Symematin B,Addicillin,Salmotin. INN,BAN,USAN. 
|