阿地洛尔
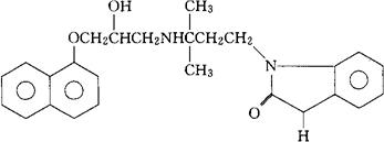
C25H29N3O3=419.52 CAS-78459-19-5 (±)-1-[3-[[2-羟基-3-(1-萘氧基)丙基]氨基]-3-甲基丁基]-2-苯并咪唑啉酮。 (±)-1-[3-[[2-Hydroxy-3-(1-naphthyloxy)propyl]amino]-3-methylbuthyl]2-benzimidazolinone. 1,3-二氢-1-[3-[[2-羟基-3-(1-萘氧基)丙基]氨基]-3-甲基丁基]-2H-苯并咪唑-2-酮。 1,3-Dihydro-1-[3-[[2-hydroxy-3-(1-naphthalenyloxy)propyl]amino]-3-methylbutyl]-2H-benzimidazol-2-one. β-受体阻滞药,解交感神经,解痉药。 Adimolol,MEN 935,Imidolol. INN,USAN.  |