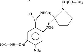
阿吡必利
C17H26N4O4S=382.48 CAS-81982-32-3 (±)-N-[(1-烯丙基-2-吡咯烷基)甲基]-4-氨基-4-(甲基氨磺酰)-o-茴香酰胺。 (±)-N-[(1-Allyl-2-pyrrolidinyl)methyl]-4-amino4-(methylsulfamoyl)-o-anisamide. 氨基-2-甲氧基-5-[(甲氨基)磺酰]-N-[[(1-(2-丙烯基)-2-吡咯烷基]甲基]苯甲酰胺。 Amino-2-methoxy-5-[(methylamino)sulfonyl]-N[[1-(2-propenyl)-2-pyrrolidinyl]methyl]benzamide. 抗高血压药。用于治疗偏头痛。 Alpiropride,Rivestel,Ivistel,Riv 2093. INN,USAN.  |