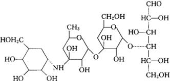
阿卡波糖
C25H43NO18=645.61 CAS-56180-94-0 O-4,6-D-脱氧-4-[[(1S,4R,5S,6S)-4,5,6-三羟基-3-(羟甲基)-2-环己烯-1基]氨基]-α-D-吡喃葡糖基-(1→4)-D-α-D-吡喃葡糖基-(1→4)-D-葡萄糖。 O-4,6-o-oeoxy-4-[[(1S,4R,5S,6S)-4,5,6-trihydroxy-3-(hydroxymethy1)-2-cyclohexen-1-yl]amino]-α-D-glucopyranosyl-(1→4)-O-α-D-glucopyranosyl-(1→4)-D-glucose. 降血糖药。 Acarbose,Glucobay,Bay-g-5421,GHI. INN,USAN,MI.  |