网站首页  词典首页


请输入您要查询的字词:

 

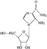
字词 阿卡地新
类别 中英文字词句释义及详细解析
释义 阿卡地新

C9H14N4O5=258.23

CAS-2627-69-2

5-氨基-1-β-D-呋喃核糖基咪唑-4-甲酰胺。

5-Amino-1-β-D-ribofuranosylimidazole-4-carboxamide.

抗血小板聚集药。

Acadesine,GP-1-110.

INN,BAN,USAN.

随便看

 

离鸟网收录3541549条中英文词条,其功能与新华字典、现代汉语词典、牛津高阶英汉词典等各类中英文词典类似,基本涵盖了全部常用中英文字词句的读音、释义及用法,是语言学习和写作的有利工具。

 

Copyright © 2004-2024 vtrois.com All Rights Reserved
更新时间:2026/4/21 13:47:33