网站首页  词典首页


请输入您要查询的字词:

 

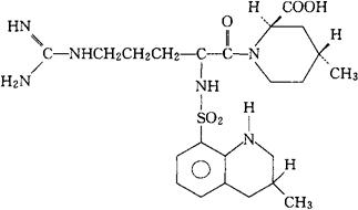
字词 阿加曲班
类别 中英文字词句释义及详细解析
释义 阿加曲班

C23H36N6O5S=508.64

CAS-74863-84-6

(2R,4R)-4-甲基-1-[(S)-N2-[[(RS)-1,2,3,4-四氢-3-甲基-8-喹啉基]磺酰基]精氨酰]-2-哌啶酸。

(2R,4R)-4-Methyl-1-[(S)-N2-[[(RS)-1,2,3,4-tetrahydro-3-methyl-8-quinolyl]-sulfonyl]arginyl]pipecolic acid.

抗血栓药。

阿加托苯。

Argatroban.

INN,USAN.

随便看

 

离鸟网收录3541549条中英文词条,其功能与新华字典、现代汉语词典、牛津高阶英汉词典等各类中英文词典类似,基本涵盖了全部常用中英文字词句的读音、释义及用法,是语言学习和写作的有利工具。

 

Copyright © 2004-2024 vtrois.com All Rights Reserved
更新时间:2026/4/18 15:10:52