网站首页  词典首页


请输入您要查询的字词:

 

字词 阿克奈德
类别 中英文字词句释义及详细解析
释义 阿克奈德

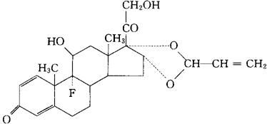
C24H29FO6=432.49

CAS-28971-58-6

9-氟-11β,16α,17,21-四羟基孕甾-1,4-二烯-3,20-二酮环16,17-乙缩醛丙烯醛。

9-Fluoro-11β,16α,17,21-tetrahydroxypregna-1,4-diene-3-20-dione cyclc 16,17-acetal with acrolein.

肾上腺皮质激素类药。

阿克缩松。

Acrocinonide,SD 2102-18.

INN,DCF,USAN.

随便看

 

离鸟网收录3541549条中英文词条,其功能与新华字典、现代汉语词典、牛津高阶英汉词典等各类中英文词典类似,基本涵盖了全部常用中英文字词句的读音、释义及用法,是语言学习和写作的有利工具。

 

Copyright © 2004-2024 vtrois.com All Rights Reserved
更新时间:2026/4/17 23:09:04