网站首页  词典首页


请输入您要查询的字词:

 

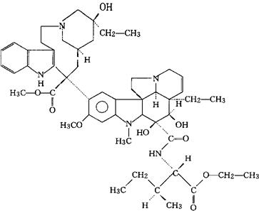
字词 长春西醇
类别 中英文字词句释义及详细解析
释义 长春西醇

C51H69N5O9=896.13

CAS-81571-28-0

[23(1S,2S)]-4-去乙酰-3-[(1-羧-2-甲丁基)氨基甲酰]-3-去(甲氧基羰)长春碱乙酯。

[23(1S,2S)]-4-Deacetyl-3-[(1-carboxy-2-methylbutyl)carbamoyl]-3-de(methoxycarbonyl)vincaleukoblastine,ethyl ester.

抗肿瘤药。

Vinleucinol.

INN,USAN.

随便看

 

离鸟网收录3541549条中英文词条,其功能与新华字典、现代汉语词典、牛津高阶英汉词典等各类中英文词典类似,基本涵盖了全部常用中英文字词句的读音、释义及用法,是语言学习和写作的有利工具。

 

Copyright © 2004-2024 vtrois.com All Rights Reserved
更新时间:2026/4/18 18:33:19