网站首页  词典首页


请输入您要查询的字词:

 

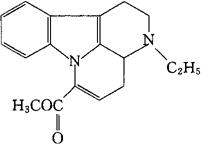
字词 长春考酯
类别 中英文字词句释义及详细解析
释义 长春考酯

C18H20N2O2=296.37

CAS-70704-03-9

(±)-3-乙基-2,3,3a,4-四氢-1H-吲哚并[3,2,1-de]

[1,5]二氮杂萘-6-羧酸甲酯。

(±)-Methyl 3-ethyl-2,3,3a,4-tetrahydro-1H-indolo

[3,2,1-de][1,5]-naphthyridine-6-6carboxylate.

抗缺氧药,血管扩张药。

Vinconate,Vincantenate,Vintenate,OC 34.

INN,USAN.

随便看

 

离鸟网收录3541549条中英文词条,其功能与新华字典、现代汉语词典、牛津高阶英汉词典等各类中英文词典类似,基本涵盖了全部常用中英文字词句的读音、释义及用法,是语言学习和写作的有利工具。

 

Copyright © 2004-2024 vtrois.com All Rights Reserved
更新时间:2026/4/19 5:24:04