网站首页  词典首页


请输入您要查询的字词:

 

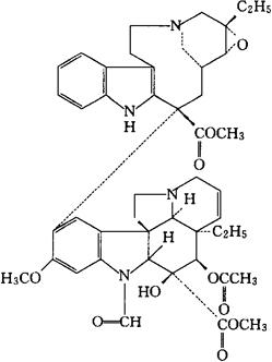
字词 长春米特
类别 中英文字词句释义及详细解析
释义 长春米特

C46H54N4O10=822.95

CAS-54022-49-0

N-去甲基-N-甲酰长春素。

N-Demethyl-N-formylleurosine.

4′-去氧-3′,4′-环氧-22-氧代长春碱。

4′-Deoxy-3′,4′-epoxy-22-oxovincaleukoblastine.抗肿瘤药。

Vinformide,Leuroformine,F-Leurosine.

INN,USAN.

随便看

 

离鸟网收录3541549条中英文词条,其功能与新华字典、现代汉语词典、牛津高阶英汉词典等各类中英文词典类似,基本涵盖了全部常用中英文字词句的读音、释义及用法,是语言学习和写作的有利工具。

 

Copyright © 2004-2024 vtrois.com All Rights Reserved
更新时间:2026/4/19 5:36:06