网站首页  词典首页


请输入您要查询的字词:

 

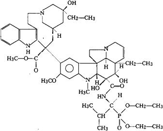
字词 长春磷汀
类别 中英文字词句释义及详细解析
释义 长春磷汀

C51H72N5O10P=946.13

CAS-123286-00-0

[23(S)]-4-去乙酰-3-去(甲氧羰基)-3-[(2-甲基-1-膦酰丙基)氨基甲酰]长春碱,二乙酯。

[23(S)]-4-Deacetyl-3-de(methoxycarbonyl)-3-[(2-methyl-1-phosphonopropyl)carbamoyl]vincaleukoblastine,diethyl ester.

抗肿瘤药。

Vinfosiltine.

INN,USAN.

随便看

 

离鸟网收录3541549条中英文词条,其功能与新华字典、现代汉语词典、牛津高阶英汉词典等各类中英文词典类似,基本涵盖了全部常用中英文字词句的读音、释义及用法,是语言学习和写作的有利工具。

 

Copyright © 2004-2024 vtrois.com All Rights Reserved
更新时间:2026/4/19 4:34:58