网站首页  词典首页


请输入您要查询的字词:

 

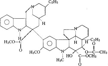
字词 长春瑞滨
类别 中英文字词句释义及详细解析
释义 长春瑞滨

C45H54N4O8=778.95

CAS-71486-22-1

3′,4′-二去氢-4′-去氧-8′-去甲长春碱。

3′,4′-Didehydro-4′-deoxy-8′-norvincaleukoblastine.

5′-去甲脱水长春碱。

5′-Noranhydrovincaleukoblastine.

去甲脱水长春花碱。

Noranhydrovinblastine.

抗肿瘤药。

Vinorelbin,Navelbine,NVB.

INN,USAN.

随便看

 

离鸟网收录3541549条中英文词条,其功能与新华字典、现代汉语词典、牛津高阶英汉词典等各类中英文词典类似,基本涵盖了全部常用中英文字词句的读音、释义及用法,是语言学习和写作的有利工具。

 

Copyright © 2004-2024 vtrois.com All Rights Reserved
更新时间:2026/4/18 21:53:45