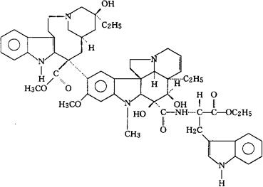
长春曲醇
C56H68N609=969.19 CAS-81600-06-8 [23(S)]-4-去乙酰-3-[(1-羧-2-吲哚-3-基乙基)氨基甲酰]-3-去(甲氧羰基)长春碱,乙酯。 [23(S)]-4-Deacetyl-3-[(1-carboxy-2-indol-3-ylethyl)carbamoyl]-3-de(methoxycarbonyl)vincaleukoblastine,ethyl ester. O4-去乙酰-3-去(甲氧羰基)-3-[[[2-乙氧-1-(1H-吲哚-3-基甲基)-2-氧代乙基]氨基]羰基]长春碱。 O4-Deacetyl-3-de(methoxycarbonyl)-3-[[[2-ethoxy1-(1H-indol-3-ylmethyl)-2-oxoethyl]amino]carbonyl]vincaleukoblastine. 抗肿瘤药。 Vintriptol,OC 6020. INN,USAN.  |