网站首页  词典首页


请输入您要查询的字词:

 

字词 锥管尺寸的设计计算
类别 中英文字词句释义及详细解析
释义 锥管尺寸的设计计算

【说明】 锥管布浆器的基本要求是自每个支管或孔板的孔中流向流浆箱的流量相等。有关锥管需要通过计算确定的尺寸如图1-15-2。锥管尺寸的计算通常采用拜纳斯(Baines)方程式进行。

e——自然对数的底,e=2.718

f——摩擦系数,通常可取f=0.015

Rs——水力半径(m)

【计算依据及步骤】 在较精确的分段计算中要采用试算法,其步骤如下。

❶ 确定有关基础数据

根据产量、车速、上浆浓度等所决定的锥管进浆量Q以及选定的锥管进口端面处的流速V0求出进口截面积A0锥管全长L;把锥管全长分成n个等份来决定所考虑的截面距锥管进口端面的距离xi以及由此得出的比值;锥管细端回流率a,通常取a=0.12;确定摩擦系数f,可取f=0.015。

❷ 计算水力半径Rs

要先假设出所考虑的各个截面上的尺寸参数D或H及B。为此,一般情况下都用已知的A0值绘出一个锥管纵剖面简图,对于窄幅纸机,可直接用式1-15-6在x=L的条件下求出锥管回流端面面积A1。对于矩形锥管,通常都采用等宽的,即B=常数。因此,截面尺寸中就只剩下一个变数——高H0由A0及A1可求得圆截面的直径D0及D1或等宽矩形截面的高H0及H1。按所得的锥管进口端和回流端面的直径或高连接直线绘出初步的锥管纵剖面,并按几个等分段从图上按比例尺量得所考虑的中间诸截面上的直径Di或高Hi。Di或高Hi也可由下式求得:

对于等宽矩形锥管:

对于圆形截面的锥管:

由以上求得的Di或Hi即可用来计算初设的水力半径Rs,再代入拜纳斯方程进行其它尺才的求算。

【讨论】 用拜纳斯方程来计算锥管布浆器的各段截面积在理论上并非完善。它也不是锥管截面计算的唯一算式。但该法计算较为简便,且结果较满意。

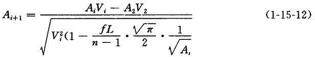
在决定了加速比、支管数、支管面积和支管中流速之后,对于圆形截面的锥管,还可以用下式来计算锥管的各截面面积:

式中 Ai、Ai+1——在第i根和第i+1根支管中心剖面处的锥管截面积(m2)

A2——支管截面积(m2)

V2——支管中的流速(m/s)

n——支管数

L——锥管在首、末两根支管中心间的长度(m)

f——摩擦系数,通常可取0.0225

Vi——在A1截面上的锥管流速(m/s)

对于第一根支管中心处的锥管截面,要先定出其直径及流速,即已知Ai及Vi,然后,逐根支管顺序计算下去。通常可用列表法(前面的计算同样适用)计算,用求得的A2、A3……算出D2、D3……等值,在图上就可绘出锥管的轮廓线来。计算所得的圆锥管外形轮廓线不是直线,在实际中无法制造,因此,要分段圆整成几段直线。这样,圆锥管布浆器就是由几段锥度不同的直母线圆锥管相接而成。当L短于3.5m时,通常可分为四段制造,自大头算起的第一段最长,顺序地减短各段锥管的长度而直到小头的第四段最短。这四段直母线圆锥管的长度按锥管全长L的百分率计算可取63%、24%、9%及4%。

随便看

 

离鸟网收录3541549条中英文词条,其功能与新华字典、现代汉语词典、牛津高阶英汉词典等各类中英文词典类似,基本涵盖了全部常用中英文字词句的读音、释义及用法,是语言学习和写作的有利工具。

 

Copyright © 2004-2024 vtrois.com All Rights Reserved
更新时间:2026/4/19 11:13:53