网站首页  词典首页


请输入您要查询的字词:

 

字词 锥形顶盖厚度计算
类别 中英文字词句释义及详细解析
释义 锥形顶盖厚度计算

1.小直径(<2m)锥形顶盖应力计算

[说明]对于直径小于2m的锥形顶盖,其最大应力位于锥盖的最大直径处,参见图2-3-11

式中 θ——圆锥母线与水平面的夹角(度),当D0≤3m时,θ=10°;当D0>3m时,θ=12°

p——均布载荷,取160Pa

2.大直径(≥2m)的顶盖厚度计算

[说明]锥形顶盖失去作用的主要因素是弹性不稳定造成锥面板皱褶而失效。因此,锥形顶盖在载荷作用下,其受力情况应按外压考虑,故计算应以刚度作为基础。

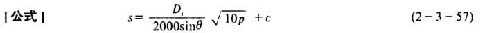
式中 s、D1、c——含义均同前,单位mm

p——含义同上,单位N/cm2

随便看

 

离鸟网收录3541549条中英文词条,其功能与新华字典、现代汉语词典、牛津高阶英汉词典等各类中英文词典类似,基本涵盖了全部常用中英文字词句的读音、释义及用法,是语言学习和写作的有利工具。

 

Copyright © 2004-2024 vtrois.com All Rights Reserved
更新时间:2026/4/18 19:04:52