锥形封头的计算
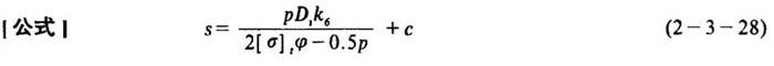
[说明]见图2-3-6。 1.无折边锥形封头的壁厚计算 [说明]如图2-3-6所示,当半顶角α≤30°,设备内压力p较小(一般小于60×104Pa),且设备直径较小时,可以采用无折边封头,其壁厚计算步骤为:先以 与半顶角α的值查图2-3-7,然后据不同情况按下述公式计算。 ❶ 当查图所得交点位于曲线之上方时,不必向局部加强,其壁厚按下式计算 c——见式2-3-9 其它同上  ❸ 当锥壳的顶角α大于75°时,锥壳的厚度按平板盖确定 2.折边锥形封头的壁厚计算 [说明]如图2-3-6所示,当半顶角α大于30°(通常取30~45°),或内压力较大,或筒体直径较大时,均应采用折边锥形封头。其特点是在锥形封头与圆筒连接处具有过渡弧以减弱连接处的应力集中。而且在过渡圆弧后有一段短圆筒,以免圆弧处的弯应力作用在焊缝上。折边锥壳大端过渡区圆弧内半径应不少于锥壳大端内径的10%,且不小于锥壳厚度的3倍;标准的折边锥形封头大端过渡区的圆内半径r=0.15D1。 ❶ 过渡区的壁厚计算  式中 k6——系数,由表2-3-6查出,表内中间值由内插法求出 其它同前 表2-3-6 锥形封头过渡区形状系数k6  ❷ 锥壳部分的壁厚计算  式中 k2——形状系数,其值见表2-3-7,中间值由内捕法计算 表2-3-7 锥壳部分形状系数k7  注:表中有*号者为标准锥形封头。  r——见图2-3-6 |