网站首页  词典首页


请输入您要查询的字词:

 

字词 锁阳
类别 中英文字词句释义及详细解析
释义 锁阳

【概况】:

异名 锈铁棒(《新疆药材》),地毛球(《全国中草药汇编》),黄骨狼(《宁夏中草药手册》)。

基源 为蛇菰科锁阳属植物锁阳的全草。现有学者将该属从蛇菰科分出,自成锁阳科。

原植物 锁阳Cynomorium songaricum Rupr.

历史 首见于《本草衍义补遗》,《纲目》谓:“锁阳出肃州”,按元陶宗仪《辍耕录》云:“锁阳生鞑靼田地……发起如笋,上丰下俭,鳞甲栉比,筋脉连络。”似即为本种。

形态 多年生肉质寄生草本。地下茎粗短,具有多数瘤突吸收根。

茎圆柱形,暗紫红色,高20~100cm,径约3~6cm,大部埋于沙中;基部粗壮,具鳞片状叶。鳞片状叶卵圆形、三角形或三角状卵形,长0.5~1cm,宽不到1cm,先端尖。

穗状花序顶生,棒状矩圆形,长5~15cm,直径2.5~6cm,生有密集的花和鳞状苞片;花杂性,暗紫色,有香气;雄花二种,一种具肉质花被片5枚,长卵形,雄蕊1,花丝短,退化子房棒状;另一种雄花具数枚肉质线形总苞片,无花被,雄蕊1,花丝较长,无退化子房;雌花具数枚线状肉质总苞片,其中1枚常较宽大,雌蕊1,子房近圆形,上部著生棒状退化雄蕊数枚,花柱棒状;两性花多先于雄花开放,具雄蕊雌蕊各1,雄蕊著生于子房中部。

果为小坚果,球形,有深色硬壳状果皮。

花期6~7月。(图见《中药大辞典》.2395页.4976条图)

生境与分布 生长于干燥多沙地带,多寄生于白刺的根上。

分布于新疆、甘肃、青海、内蒙、宁夏等地。

。【生药】:

采集 春、秋季采收,以春季采者为佳,挖出后除去花序,置沙滩中半埋半露晒干,或除去花序后,折断,晒干,也有少数地区,趁鲜时切片晒干。

药材主产于甘肃、新疆、青海、内蒙古、宁夏。

鉴别

性状 茎扁圆柱形,一端略细而微弯曲,长2~20cm,直径1.5~5cm;表面棕色或棕褐色,极皱缩,具明显纵沟,有的残存三角形的黑棕色鳞片。质坚,难折断,断面棕色或棕黑色,有的可见白色三角状或不规则状的维管束,单个或2~5个成群。

气微,味淡而后涩。

显微 茎横切面:表皮多脱落,偶有残存。皮层狭窄,细胞中含有棕色物。

中柱宽广,维管束众多,分布不很规则,往往可见数个维管束排列成扁形、半圆形或成不整齐的外韧形环状中柱样,导管木化。本品薄壁细胞均含有多数淀粉粒。

粉末浅棕色。 ❶ 淀粉粒圆形,多为单粒,直径4~30μm,脐点明显,多为星状,也有人字形或V形,复粒偶见。
❷ 网纹或螺状导管直径7~35μm。
❸ 薄壁细胞内含棕色物质。

(图见《中药志》.第4册.第2版.676页.图657、658)

理化 取样品粉末1g,加水10ml,浸渍2小时,滤过,滤液点于硅胶H板上,以标准品脯氨酸、天门冬氨酸为对照,以苯酚-水(3∶1)为展开剂,在40℃时展距14cm,喷0.2%茚三酮乙醇溶液,105℃加热 5分钟,脯氨酸显黄色斑点,天门冬氨酸显蓝色斑点。(图见同上.图659)

贮藏 置通风干燥处,防蛀。

。【化学】:

全株含鞣质约21%,另含三萜皂甙[1]

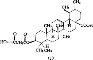
从全草得一新三萜,命名为锁阳萜(Cynoterpene),结构为熊果-12-烯-28-酸3β-丙二酸单酯(1),另含:熊果酸、乙酰熊果酸、β-谷甾醇、β-谷甾醇棕榈酸酯、棕榈酸、β-谷甾醇葡萄糖甙[2]。胡萝卜甙及门冬氨酸,脯氨酸为主的15种氨基酸,其中5种(蛋氨酸、缬氨酸、苯丙氨酸、赖氨酸、异亮氨酸)为人体必需氨基酸[2]。鉴定出油酸(9-十八碳烯酸)等22种挥发性成分[4]。尚含菜油甾醇及十二烷、十四烷二烯等12种烃类成分[5]。经分析锁阳中含有23种微量元素,其中含量较高的Zn、Mn、Cu、Mg、Sr、F等均为人体所必需,近年研究表明这些微量元素具有抗衰老的作用[6]

参考文献 [1] 南京药学院.中草药学.中册.江苏科学技术出版社,1987∶717 [2] Chin Chem Lett 1992;3(4)∶281(CA 1992;117∶167653m) [3] 中国药学杂志 1991;26(11)∶649 [4] 中国中药杂志 1990;15(2)∶103 [5] CA 1990 ;113∶74917c [6] 中药材 1994;17(11)∶32

【药理】:

❶ 对免疫功能的影响 锁阳醇提物0.25,0.5g/kgig,连续7d,可使醋酸氢可的松引起的免疫抑制小鼠腹腔巨噬细胞吞噬功能加强;1,2g/kgig,可促进该免疫抑制小鼠脾淋巴细胞转化,并可使正常小鼠脾抗体形成细胞数增加[1]

❷ 清除自由基 锁阳煎剂5g/kgig,连续25d,对大鼠能阻止白酒损伤造成的血清和肝线粒体超氧化物岐化酶(SOD)活性的降低及过氧化物脂质的增加,但对白酒损伤引起的血清过氧化氢酶水平降低无对抗作用;锁阳鞣质0.005mg/ml浓度,用Fenton反应法实验表明有清除羟自由基的作用[2]
❸ 抗血小板聚集 锁阳3种总成分,总糖类0.1~0.6mg/ml、总甙类0.1~0.4mg/ml及总甾体类0.4~1mg/ml,体外试验,对ADP诱导的大鼠血小板聚集有抑制作用,并呈量效关系[3]
❹ 其他 锁阳总糖类1,2g/kg,总甙类1,2g/kg及总甾体类0.5,1g/kg ig,连续3d,可延长常压缺氧小鼠的存活时间,也延长异丙肾上腺素增加耗氧小鼠的存活时间[3]。锁阳煎剂(1g/ml)0.73ml/只ig,可加速小鼠胃肠推进的作用,锁阳煎液0.1~1.5ml加入30ml浴液中,可使兔离体回肠运动增强[4]

锁阳促进小鼠肠蠕动,缩短通便时间,经研究认为锁阳所含无机离子部分有此作用[5]

参考文献 [1] 中国医药学报 1989,4(3)∶27 [2] 中药材 1993;16(10)∶32 [3] 中国中药杂志 1994;19(4)∶244 [4] 西北药学杂志 1989;4(1)∶6 [5] 中药材 1990;13(10)∶36

。【药性】:

性味 甘、温。

❶ 《本草衍义补遗》:“甘。”
❷ 《纲目》:“甘,温。”
❸ 《本草求真》:“甘、咸,性温。”
❹ 《宁夏中草药手册》:“甘、涩,温。”
❺ 《全国中草药汇编》:“甘,温。”

归经 入肝、肾经。

❶ 《雷公炮制药性解》:“入肾经。”
❷ 《玉楸药解》:“入足厥阴肝经。”
❸ 《本草求真》:“入肾,大肠。”

功效 补肾润肠。

主治 阳痿,尿血,血枯,便秘,腰膝痿弱。 ❶ 《本草衍义补遗》:“治虚而大便燥结用。”
❷ 《纲目》:“润燥养筋。治痿弱。”
❸ 《本草原始》:“补阴血虚火,兴阳固精,强阴益髓。”
❹ 《内蒙古中草药》:“治阳痿遗精,腰腿酸软,神经衰弱,老年便秘。”
❺ 《全国中草药汇编》:“治阳痿,滑精,腰腿酸软,肠燥便秘。”

用法用量 内服:煎汤,4.5~9g,入丸、散或熬膏。

使用注意 ❶ 《本草从新》:“泄泻及阳易举而精不固者忌之。”
❷ 《得配本草》:“大便滑,精不固,火盛便秘,阳道易举,心虚气胀,皆禁用。”

。【临床应用】:

配伍应用 ❶ 配肉苁蓉、菟丝子,治阳痿早泄,梦遗滑精。

❷ 配火麻仁、柏子仁、郁李仁,治肠燥便秘。
❸ 配珠芽蓼,治胃溃疡。

❹ 配沙枣树皮,治白带。
❺ 配木通、车前子、五味子,治子宫下垂。

❻ 配熟地、牛膝、虎骨、治肝肾阴伤,筋骨痿软,行步艰难等症。
❼ 配寒水石、红盐、龙胆草,治胃痛,胃酸过多。
❽ 配龟板、黄柏、牛膝,治筋骨痿弱无力。
❾ 配桑螵蛸、山茱萸、五味子,治遗尿,小便频数。
❿ 配忍冬藤、茅根,治泌尿系统感染尿血。

方选和验方 ❶ 《宁夏中草药手册》:“治肾虚遗精,阳痿:锁阳、龙骨、苁蓉、桑螵蛸、茯苓各等份。共研末,炼蜜为丸,每服15g,早晚各1次。”
❷ 《陕甘宁青中草药选》:“治阳痿,早泄:锁阳15g,党参、山药各12g,覆盆子9g。水煎服。”
❸ 《宁夏中草药手册》:“治老年气弱阴虚,大便燥结:锁阳、桑椹子各15g。水煎取浓汁加白蜂蜜30g,分2次服。”
❹ 《陕甘宁青中草药选》:“治胃溃疡:锁阳、珠芽蓼各9g,水煎服。”
❺ 《陕甘宁青中草药选》:“治白带:锁阳15g,沙枣树皮9g。水煎服。


❻ 《中国沙漠地区药用植物》:“治二度子宫下垂:锁阳15g,木通9g,车前子9g,甘草9g,五味子9g,大枣3个。水煎服。


❼ 《中国民族药志》:“治食积,吐泻:锁阳、地丁、寒水石、白糖各等量,研为细末,1次3g,1日1~3次。”
❽ 《中国沙漠地区药用植物》:“治胃痛,胃酸过多:锁阳120g,寒水石(煅)150g,红盐3g,龙胆草30g,冰糖300g。共为细末,每次9g,1日1~3次,口服。”
❾ 《中国民族药志》:“治生殖器肿胀:锁阳15g,槟榔9g,刀豆、白豆蔻各6g,毛角、石莲子、莲子、五灵脂各3g,麝香0.5g。共研细末,1次3g,1日1~2次,温开水送服。”
❿ 《中草药》:“治血虚肠燥所致的大便秘结:锁阳、肉苁蓉、当归、火麻仁各6~12g。水煎服。” ⑾《中草药》:“治肝血不足所致的筋骨痿软:锁阳、熟地、枸杞各10g。水煎服。” ⑿秘精汤(新中医 1990;(12))治青少年遗精:锁阳、芡实、沙苑蒺藜、莲须、金樱子各31g,龙骨(煅)、牡蛎(煅)各21g,知母、黄柏各15g。水煎服。

单方应用 ❶ 《本草切要》:“治阳弱精虚,阴衰血竭,大肠燥涸,便秘不运:锁阳1500g。清水10000ml,煎浓汁2次,总和,以砂锅内熬膏,炼蜜400g收成,入磁瓶内收贮,每早、午、晚各食前服100g,热酒化服。


❷ 《宁夏中草药手册》:“治消化不良:锁阳15g,水煎服。”
❸ 《中国沙漠地区药用植物》:“治心脏病:锁阳,冬季采集后用猪油(或奶油)煅后,经常冲茶服,20日为1疗程。”

【医药家论述】:

黄宫绣《本草求真》:“锁阳,本与苁蓉同为一类。凡阴气虚损,精血衰败,大便燥结,治可用此以啖,并代苁蓉,煮粥弥佳,则知其性虽温,其体仍润,未可云为命门火衰必用之药也。故书有载大便不燥结者勿用,益知性属阴类,即有云可补阳,亦不过云其阴补而阳自兴之意,岂真性等附、桂而为燥热之药哉。”

随便看

 

离鸟网收录3541549条中英文词条,其功能与新华字典、现代汉语词典、牛津高阶英汉词典等各类中英文词典类似,基本涵盖了全部常用中英文字词句的读音、释义及用法,是语言学习和写作的有利工具。

 

Copyright © 2004-2024 vtrois.com All Rights Reserved
更新时间:2026/4/17 20:33:46