锁止弧
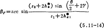
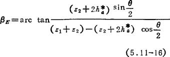
锁止弧半径的确定,如图5.11-2所示,对△O1O2H应用余弦定理,并将各边长表达为齿轮参数可得  式中△θ为厚齿单侧齿顶弧厚△s所对中心角,一般取△s≈0.5m,所以  如图5.11-2和5.11-4所示,首齿即将入啮时,凸锁止弧末点应在两轮连心线上,否则将提前或滞后开锁而发生干涉,因此首齿啮入角φE或φK就是以首齿对称线为准的凸弧末点位置角,同样,末齿即将出啮时,凸弧始点也应在连心线上,否则将发生闭锁提前或滞后,所以末齿啮出角φF就是以末齿对称线为准的凸弧始点位置角。φF、φE、φK值的计算分别如下: ❶ φF的计算:对图5.11-2中的△O1O2F应用正弦定理,并以齿轮参数表达各边长,经整理可得啮点位置角计算式  再依渐开线齿廓几何关系可得锁止弧始点位置角计算式  此式也适用于图5.11-4所示渐开线始啮情况下的啮出角计算。 ❷ φE的计算:分析图5.11-2中△O1O2E的三角学关系,可得尖点始啮情况下的入啮点位置角计算式  再依渐开线齿廓几何关系可得锁止弧末点位置角计算式:  式中aE1为首齿入啮点压力角,可按下式计算:  其中rE1为主动轮入啮点半径。对△O1O2E应用余弦定理可得  ❸ φK的计算:渐开线始啮时,首齿对称线与两轮连心线之问恰含K/2齿距角(2π/z1),且渐开线始啮仅出现于K=2,所以锁止弧末点位置角为:  K=2、3、4、5时z1、z2值不同搭配下的φE与φF角的值参见表5.11-1、5.11-2、5.11-3、5.11-4。在表5.11-1中,若φE的值空缺,则表明该种齿数搭配属于渐开线始啮,须按式(5.11-20)计算φK值。 |