网站首页  词典首页


请输入您要查询的字词:

 

字词 银线草
类别 中英文字词句释义及详细解析
释义 银线草

【概况】:

异名 鬼督邮(《本草经集注》),独摇草(《唐本草》),四大天王(《植物名实图考》),四叶对(《安徽药材》),四块瓦(《广西中药志》),四叶金(《福建民间草药》)。

基源 为金粟兰科金粟兰属植物银线草的全草。金粟兰属约17种;中国约有13种和5变种。

原植物 银线草Chloranthus japonicus Sieb.

形态 多年生草本,高20~49cm;根茎多节,横走,分枝,生多数细长须根,有香气;茎单生或数个丛生,不分枝,下部节上对生2片鳞状叶。叶对生,通常4片生于茎顶,成假轮生,叶片齿尖有一腺体。穗状花序单一,顶生;苞片三角形或近半圆形;花白色;雄蕊3枚,药隔基部连合,著生于子房上部外侧;中央药隔无花药,两侧药隔各有1个1室的花药;药隔延伸成线形,长约5mm,水平伸展或向上弯,药室在药隔的基部;子房卵形,无花柱,柱头截平。核果具长1~1.5mm的柄。花期4~5月,果期5~7月。(图见《中国植物志》.第20卷.第1分册.89页.图版27∶5~8)

生境与分布 生于海拔500~2300m的山坡或山谷杂木林下荫湿处或沟边草丛中。

分布于吉林、辽宁、河北、山西、山东、陕西、甘肃。

。【生药】:

栽培 宜阴凉湿润环境,需选疏松肥沃的壤土栽种。

用分株繁殖,在春季挖出母株,将其丛生的小株进行分株,每株带有须根,按株行距各27cm左右开穴栽种。栽后注意浇水,经常中耕除草,适时追肥1~2次。

采集 春、夏间采收,洗净,阴干或鲜用。

。【化学】:

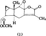
含倍半萜类化合物。有银线草内酯(Shizukanolide)D(1)[1]、银线草定醇(Shizukalidol)、银线草呋喃醇(Shizukafurano1)、银线草菖蒲二烯醇(Shizuka-acoradienol)[2]、8,9-Dehydro shizukanolide[3]、金粟兰内酯(银线草内酯,Chloranthalactone)A~E[4]、金粟兰酸(Chloranthalic acid)、金粟兰二聚酸甲酯乙酸酯(Methylchloranthadimeric acid acetate)及其异构体[5]、活血丹内酯(Glechomanolide)[6]、异呋喃二烯(Isofuranodiene)[7]、苍术内酯(Atractylenolide)[4];还含黄酮甙、酚类,氨基酸和糖类[8]

参考文献 [1] CA 1989;110∶189391g [2] CA 1984;101∶3909t [3] CA 1979;91∶35609f [4] Chem Pharm Bull 1980;28(1)∶92 [5] 药学杂志(日)1991;111(12)∶756 [6] CA 1980;93∶26567k [7] CA 1981;95∶93811q [8] 江苏省植物研究所等.新华本草纲要.第2册.上海科学技术出版社,1991∶65

【药理】:

银线草内酯A、B、C、D对小鼠淋巴肉瘤L-5178y细胞有抑制作用,ID50分别为2.5,1~2.5,20,50μg/ml。

参考文献 Chem pharm Bull 1980;28(1)∶92

【药性】:

性味 辛、苦,温。

有毒。 ❶ 《安徽药材》:“有剧毒。”
❷ 《广西中药志》:“辛、苦,温。”

功效 散寒,祛风,行瘀,解毒。

主治 风寒咳嗽,妇女经闭,风痒,跌打,痈肿疮疖。 ❶ 《植物名实图考》:“风损跌打,无名肿毒。”
❷ 江西《中草药学》:“杀虫,祛风寒,行血破瘀,止咳化痰。”

用法用量 内服:煎汤,1.5~3g;或浸酒。外用:捣敷。

使用注意 孕妇忌服。 ❶ 《浙江民间草药》:“多服会引起呕吐。又服药期间忌食糖及玉蜀黍。


❷ 江西《中草药学》:“大量服用会导致肝脏出血。孕妇绝对禁用。”

【临床应用】:

方选和验方 ❶ 福州台江区《验方汇集》:“治乳结:四叶金、芦根。上2味捣烂敷患处。”
❷ 《福建民间草药》:“治蛇咬伤:银线草叶3~5片,雄黄少许共捣烂贴敷患处。”

单方应用 ❶ 《福建民间草药》:“治跌打损伤:鲜银线草30g,洗净,加红酒捣烂,搓擦或敷伤处。”
❷ 江西《中草药学》:“治痈肿疮疖:银线草6g,煎服。”
❸ 江西《中草药学》:“治皮肤瘙痒症:银线草煎水洗。”

随便看

 

离鸟网收录3541549条中英文词条,其功能与新华字典、现代汉语词典、牛津高阶英汉词典等各类中英文词典类似,基本涵盖了全部常用中英文字词句的读音、释义及用法,是语言学习和写作的有利工具。

 

Copyright © 2004-2024 vtrois.com All Rights Reserved
更新时间:2026/4/19 2:16:17